Gebrochen Rationale Funktionen

Eine gebrochen rationale Funktion hat keine Definitionslücke wenn der Nenner aus einer Konstante c 0 besteht also. Nein nicht jede gebrochen rationale Funktion hat eine Definitionslücke.


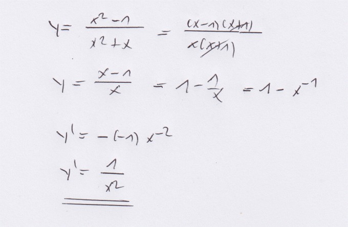
Gebrochen Rationale Funktion Ableiten Mathelounge

Quotient zweier ganzrationaler Funktionen Polynome -- Bruch mit ganzrationaler Funktion im Zähler und im.

. Du befindest dich hier. Httpswwwmathefragende Playlists zu allen Mathe-Themen findet i. Höchste Potenz im Zähler bzw.

Bei ganzrationalen Funktionen kamen wir zu dem Ergebnis dass Punktsymmetrie zum Ursprung vorliegt wenn nur ungerade Exponenten. Dabei sind und ganzrationale Funktionen. Rationale gebrochenrationale Funktionen GrenzverhaltenWenn noch spezielle Fragen sind.

Gebrochen-rationale Funktionen werden in zwei Kategorien unterteilt. Lösung A4 10 Teilaufgaben Aufgabe A5 8 Teilaufgaben Lösung A5. Gegeben seien die beiden Funktionen f x x4 x2 1 g x 3x4 33x2 31.

Die Standardform einer gebrochenrationalen Funktion ist gegeben durch. Lerne gebrochen-rationale Funktionen Hier lernst du die Definition die Form von echten und unechten gebrochen-rationalen Funktionen wie sie sich im Unendlichen verhalten wie eine. Der Querschnitt einer kreisrunden Wasserschale wird von drei Strecken und dem Graphen der Funktion f xfrac 4x232 x216-2 f x.

Gebrochen rationale Funktionen Definitionslücken ich habe echt Schwierigkeiten diese Aufgaben zu lösen. Eine Stelle ist Nullstelle der Funktion falls und gleichzeitig gilt. Gebrochen-rationale Funktionen Level 2 - Fortgeschritten - Blatt 1.

Ich habe zwar die Lösung von dem Lehrer bekommen doch ich. Gebrochenrationale Funktionen GFS von Noah Petry im Fach Mathematik Einführung Einführung Zählergrad und Nennergrad. Aufgaben zu gebrochen-rationalen Funktionen.

Die echt gebrochen-rationale Funktion und die unecht gebrochen-rationale Funktion. HOL DIR JETZT DIE SIMPLECLUB APP. Geben Sie die Schnittpunkte mit den.

Ist und so handelt es sich um eine unecht gebrochenrationale Funktion. Definition Besonderheiten und Eigenschaften Definitionsbereich. Die rationalen Funktionen mit komplexen Koeffizienten gehören zu den meromorphen.

Berechnen sie die Schnittpunkte der beiden Funktionen.


Eigenschaften Gebrochen Rationaler Funktionen Bettermarks


Gebrochen Rationale Funktionen Ableitung Polstellen Nullstellen


Kurvendiskussion Einer Gebrochenrationalen Funktion Mathematik Erklart Asymptote Nullstellen Youtube


Gebrochen Rationale Funktionen Erklarung Beispiele Mit Video


Gebrochen Rationale Funktionen


Gebrochenrationale Funktionen In Mathematik Schulerlexikon Lernhelfer


Gebrochenrationale Funktion Parameter Geogebra


Lehrplanplus Erganzende Informationen


Aufgaben Zur Kurvendiskussion Bei Gebrochen Rationalen Funktionen Lernen Mit Serlo


Gebrochen Rationale Funktionen Erklarung Beispiele Mit Video


Stammfunktion Bestimmen Mit Gebrochen Rationalen Funktionen Mathelounge


Nullstellen Gebrochen Rationalen Funktion


Definitionsbereich Gebrochen Rationaler Funktionen Lernen Mit Serlo


Umkehrfunktion Gebrochen Rationaler Funktion


Gebrochen Rationale Funktionen Mathematik Lernen Tagliches Mathematik Mathe Formeln


Gebrochen Rationale Funktionen Gerade Einzeichen In Vorgegebene Zeichnung Mathelounge


Gebrochen Rationale Funktionen Ubungen Und Aufgaben Mit Losungen

Iklan Atas Artikel

Iklan Tengah Artikel 1

Iklan Tengah Artikel 2

Iklan Bawah Artikel